33+ Soal Ujian Junior Avsec Paling Unik
Poin pembahasan 33+ Soal Ujian Junior Avsec Paling Unik adalah :
33+ Soal Ujian Junior Avsec Paling Unik. Latihan soal ujian Sekolah terbaru dan kunci jawaban ini untuk referensi belajar peserta didik semua kelas dalam menghadapi ujian. Sebagai bahan latihan US semua kelas disajikan lengkap soal ujian. contoh soal ujian Kelas terbaru dan terlengkap untuk semua mata pelajaran soal ujian dengan artikel 33+ Soal Ujian Junior Avsec Paling Unik berikut ini

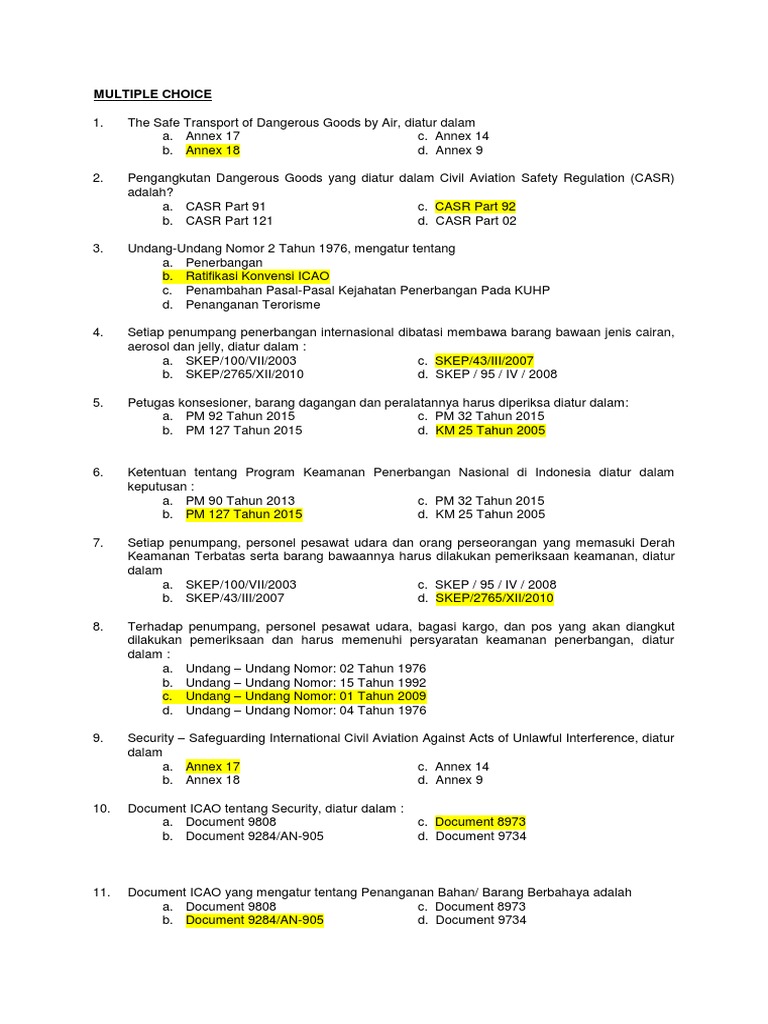
Contoh Soal Ujian Negara Tes AVSEC Resmi Keamanan Sumber : sekolahavsec.info

Contoh Soal Ujian Negara Tes AVSEC Resmi Keamanan Sumber : sekolahavsec.info

Soal Ujian UT Universitas Terbuka Pendidikan Kimia Sumber : soalujianterbaru.blogspot.com
UJIAN Negara AVSEC 2020, Contoh Soal Tes ONLINE AVSEC, Pertanyaan tentang AVSEC, Tes tertulis masuk AVSEC, Jadwal UJIAN Negara AVSEC 2020, Basic AVSEC, Soal ujian otoritas bandara, Materi AVSEC, Tes AVSEC, Mandatory AVSEC, Tes psikotes AVSEC, Macam Macam AVSEC,

Contoh Soal Ujian Negara Tes AVSEC Resmi Keamanan Sumber : sekolahavsec.info

Penyelesaian Soal Ujian Kompetensi LSP Junior Network Sumber : www.youtube.com

soal ujian negara basic avsec Sumber : www.scribd.com

Contoh Soal Ujian Basic Avsec Pdf Berbagi Contoh Soal Sumber : bagicontohsoal.blogspot.com

BANK SOAL DAN LATIHAN Sumber : pastiterkenal.blogspot.com

Pembahasan Soal Ujian Nasional Matematika SMA IPA 2020 Sumber : www.youtube.com

Contoh Soal Ujian Basic Avsec Pdf Berbagi Contoh Soal Sumber : bagicontohsoal.blogspot.com

Contoh Soal Ujian Negara Tes AVSEC Resmi Keamanan Sumber : sekolahavsec.info

Sekolah Penerbangan Di Bandara Soekarno Hatta Balsem i Sumber : balsemi.blogspot.com

Contoh Soal Ujian Basic Avsec Pdf Berbagi Contoh Soal Sumber : bagicontohsoal.blogspot.com

Latihan Soal Ulangan Harian Bab Sistem Periodik Unsur Sumber : unacademy.com

Contoh Soal Ujian Basic Avsec Pdf Berbagi Contoh Soal Sumber : bagicontohsoal.blogspot.com
UJIAN Negara AVSEC 2020, Contoh Soal Tes ONLINE AVSEC, Pertanyaan tentang AVSEC, Tes tertulis masuk AVSEC, Jadwal UJIAN Negara AVSEC 2020, Basic AVSEC, Soal ujian otoritas bandara, Materi AVSEC, Tes AVSEC, Mandatory AVSEC, Tes psikotes AVSEC, Macam Macam AVSEC,
33+ Soal Ujian Junior Avsec Paling Unik. Latihan soal ujian Sekolah terbaru dan kunci jawaban ini untuk referensi belajar peserta didik semua kelas dalam menghadapi ujian. Sebagai bahan latihan US semua kelas disajikan lengkap soal ujian. contoh soal ujian Kelas terbaru dan terlengkap untuk semua mata pelajaran soal ujian dengan artikel 33+ Soal Ujian Junior Avsec Paling Unik berikut ini

Contoh Soal Ujian Negara Tes AVSEC Resmi Keamanan Sumber : sekolahavsec.info
SOAL BASIC AVSEC 2020 2 Other Quiz Quizizz
Preview this quiz on Quizizz Berdasarkan PM 80 Tahun 2020 tentang program keamanan penerbangan Nasioanal bandar udara dibagi menjadi 3 daerah yaitu

Contoh Soal Ujian Negara Tes AVSEC Resmi Keamanan Sumber : sekolahavsec.info
PDF soal ujian negara basic avsec Free Download PDF
9 1 2020 Download soal ujian negara basic avsec Comments Report soal ujian negara basic avsec Please fill this form we will try to respond as soon as possible Your name Email Reason Description Submit Close Share Embed soal ujian negara basic avsec Please copy and paste this embed script to where you want to embed

Soal Ujian UT Universitas Terbuka Pendidikan Kimia Sumber : soalujianterbaru.blogspot.com
Ujian Negara Petugas AVSEC Aviation Security untuk
Ujian Negara Petugas AVSEC Aviation Security untuk Mendapatkan Lisensi ini sangat jarang diadakan oleh tempat pelatihan lainnya Karena memang hanya sekolah yang mendapat izin dari Kementrian Perhubungan lah yang dapat menyelenggarakan ujian seperti itu Sehingga alangkah beruntungnya para peserta didik PSPP Penerbangan karena usai mengikuti
UJIAN Negara AVSEC 2020, Contoh Soal Tes ONLINE AVSEC, Pertanyaan tentang AVSEC, Tes tertulis masuk AVSEC, Jadwal UJIAN Negara AVSEC 2020, Basic AVSEC, Soal ujian otoritas bandara, Materi AVSEC, Tes AVSEC, Mandatory AVSEC, Tes psikotes AVSEC, Macam Macam AVSEC,

Contoh Soal Ujian Negara Tes AVSEC Resmi Keamanan Sumber : sekolahavsec.info
Contoh Soal Tes Tertulis AVSEC Mendaftar di PSPP
Di tahun 2020 ini peluang kerja pada bidang keamanan penerbangan AVSEC cukup bisa mengurangi angka pengangguran di Indonesia Hal ini terjadi karena pemerintah Indonesia tengah berupaya untuk terus membangun bandara bandara baru di beberapa wilayah Indonesia yang tentunya selain menambah potensi pariwisata juga akan berdampak terhadap bertambahnya lapangan kerja

Penyelesaian Soal Ujian Kompetensi LSP Junior Network Sumber : www.youtube.com
Contoh Soal Ujian Negara Tes AVSEC Resmi Keamanan
4 17 2020 Dimana terdapat 3 tingkatan yaitu STKP Basic AVSEC STKP Junior AVSEC dan juga STKP Senior AVSEC Soal Ujian Negara Tes AVSEC yang Biasanya Diujikan Setelah mengetahui bahwa untuk menjadi seorang AVSEC Wajib memiliki STKP Anda yang sudah mulai tertarik dengan karir AVSEC tentu mulai bertanya tanya bagaimana cara memperoleh STKP
soal ujian negara basic avsec Sumber : www.scribd.com
Contoh Soal Ujian Negara AVSEC Keamanan Penerbangan
Itulah gambaran tentang Contoh Soal Ujian Negara AVSEC Keamanan Penerbangan Lisensi Resmi yang admin ketahui Jika dirasa anda mempunyai informasi terbaru tentang hal tersebut dan atau apabila dirasa terdapat kesalahan informasi yang telah saya sampaikan diatas mohon dapat disampaikan melalui kolom komentar atau dapat menghubungi kami melalui WhatsApp 0822 2500 7272 agar
Contoh Soal Ujian Basic Avsec Pdf Berbagi Contoh Soal Sumber : bagicontohsoal.blogspot.com
Contoh Soal Tes Akademik AVSEC Yang Perlu Anda Pelajari
Meskipun tes akademik AVSEC Bandara di setiap maskapai penerbangan berbeda beda namun umumnya memiliki 3 tahapan yaitu tahapan ujian tes wawancara dan tes kesehatan Bagi Anda yang berminat dengan pekerjaan bergengsi ini pastilah mencari bahan materi atau contoh soal tes akademik AVSEC Bandara dan berlatih demi menjadi seorang AVSEC Bandara

BANK SOAL DAN LATIHAN Sumber : pastiterkenal.blogspot.com

Pembahasan Soal Ujian Nasional Matematika SMA IPA 2020 Sumber : www.youtube.com
Contoh Soal Ujian Basic Avsec Pdf Berbagi Contoh Soal Sumber : bagicontohsoal.blogspot.com

Contoh Soal Ujian Negara Tes AVSEC Resmi Keamanan Sumber : sekolahavsec.info
Sekolah Penerbangan Di Bandara Soekarno Hatta Balsem i Sumber : balsemi.blogspot.com

Contoh Soal Ujian Basic Avsec Pdf Berbagi Contoh Soal Sumber : bagicontohsoal.blogspot.com

Latihan Soal Ulangan Harian Bab Sistem Periodik Unsur Sumber : unacademy.com

Contoh Soal Ujian Basic Avsec Pdf Berbagi Contoh Soal Sumber : bagicontohsoal.blogspot.com
0 Comments